Lekcja 1 z 1
W trakcie
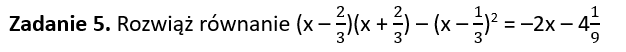
Zadania różne
W tym wpisie rozwiązuję zadania z zakresu zadań, które w szkole średniej możesz spotkać w temacie Język matematyki. Pod każdym zadaniem znajduje się link do rozwiązania wideo. Każde zadanie możesz rozwiązać samodzielnie i następnie swoje rozwiązanie sprawdzić z moim lub możesz rozwiązywać zadania razem ze mną.
Śledząc moje rozwiązanie wideo danego zadania, obejrzyj i odsłuchaj cały film od początku do końca, nawet jeśli miałbyś (miałabyś) zrobić to na przyspieszeniu. Jest to ważne, ponieważ w każdym filmie krok po kroku wyjaśniam, jak rozwiązać dane zadanie, tłumacząc wielokrotnie, jakich błędów unikać.






